Kaedah Perlombongan Bijih Timah Sebelum Dan Selepas Kedatangan Kuasa Barat

Selepas tahun 1840 permintaan bijih timah bertambah dengan pesat iv.
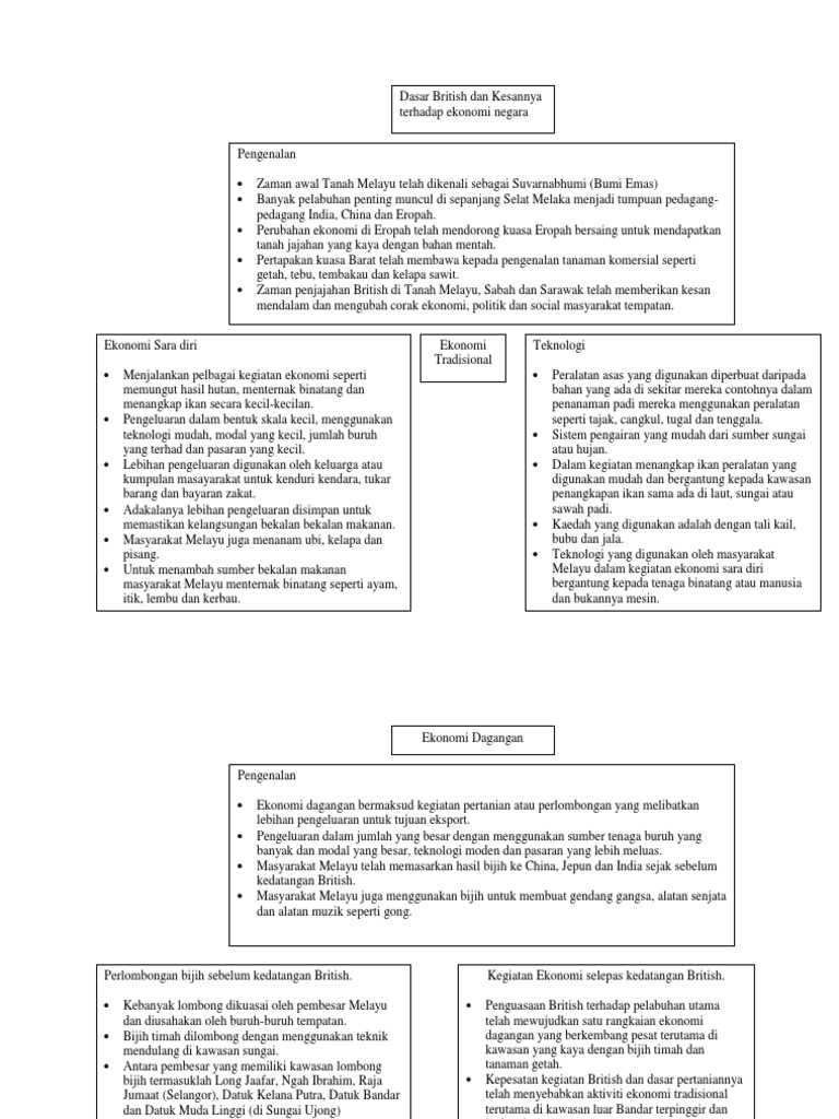
Kaedah perlombongan bijih timah sebelum dan selepas kedatangan kuasa barat. Untuk koleksi contoh soalan dan skema jawapan sejarah kertas 3 spm boleh dirujuk di skema jawapan. Mendapat barangan mewah kuasa kuasa barat ingin mendapat barang mewah dari china seperti teh sutera dan tembikar. Boustead and company mengurus pengkesportan getah dan bijih timah malahan menguasai syarikat perkapalan dan kewangan hong kong bank pewujudan sistem kewangan dan insurans kuasa barat telah memperkenalkan penggunaan mata wang asing di negara kita mata wang perak sepanyol diperkenalkan pada tahun 1580. Bahan mentah seperti bijih timah.
Tujuan o perdagangan rempah. Menjelang akhir abad ke 19 pam kerikil telah digunakan dalam kerja kerja perlombongan bijh timah. Mereka menggunakan kaedah mendulang dan melampan. Kestabilan dan kemakmuran faktor kedatangan kuasa barat persaingan kuasa barat perbezaan strategi.
Portugis 1509 1511 alfonso d albuquerque melaka tiada kubu pertahanan dan alatan senjata yang kuat tandingi portugis. Belanda telah menguasai perdagangan bijih timah tanah melayu dan memaksa sultan sultan menandatangani perjanjian jual beli bijih timah. O penyebaran agama kristian. Ekonomi dagangan melakukan kegiatan pertanian dan perlombongan secara kecil kecilan sebelum kedatangan british orang melayu telah memasarkan hasil bijih timah ke china india dan jepun masyarakat melayu menggunakan bijih timah untuk membuat gendang gangsa alatan senjata dan alatan muzik seperti gong 4.
Sebelum tahun 1820 perlombongan bijih timah diusahakan oleh orang melayu secara tradisional dengan menggunakan kaedah mendulang dan melampan. Peta buih kaedah sumbangan ii kemahiran pemikiran sejarah kps meneroka bukti bukti iii kemahiran inkuiri. Untuk makluman tema umum sejarah kertas 3 spm tahun 2014 adalah bertajuk perkembangan ekonomi sebelum dan selepas kedatangan british. Selepas tahun 1888 pelombong cina telah menggunakan alat perlombongan barat seperti enjin wap dan pam untuk mengerjakan perlombongan bijih timah.
Lada hitam dan gambir merupakan eksport utama johor sehingga awal abad ke 20. Adakah anda bersetuju dengan pernyataan ini mengadakan perbincangan dalam kumpulan atau individu berdasarkan pernyataan i i think. Sejarah tingkatan 3 bab 1 kedatangan kuasa barat. Pada peringkat awal terdapat lima kuasa barat bersaing untuk menguasai perdagangan rempah di alam melayu garis masa persaingan kuasa kuasa barat dapat dilihat melalui 2 garis masa ini faktor kedatangan kuasa barat abad ke 16 1.
Para pembesar tidak berjaya membekalkan bijih timah yang secukupnya akibat bergantung kepada orang melayu kerana cara pengeluaran orang melayu tidak membuahkan hasil yang banyak dan keterlibatan orang. O galakan rakyat mengembara ke seluruh dunia. Selepas tahun 1880 an kapal korek telah diperkenalkan oleh pihak british.