Nilai Sisihan Piawai Yang Baik

Statistik Ppg Bab2 Hantar

Statistik Ppg Bab2 Hantar

Keutuhan Kesahan Pentaksiran Analisis Interpretasi

Keutuhan Kesahan Pentaksiran Analisis Interpretasi

Sukatan Memusat Sukatan Serakan

Sukatan Memusat Sukatan Serakan

Soalan Latihan Nota

Soalan Latihan Nota

Fce3900 Penyelidikan Pendidikan Ppt Download

Fce3900 Penyelidikan Pendidikan Ppt Download

Min Dan Sisihan Piawai Dalam Kehidupan Kelas Statistik Dr Sham Facebook

Min Dan Sisihan Piawai Dalam Kehidupan Kelas Statistik Dr Sham Facebook

Min Dan Sisihan Piawai Dalam Kehidupan Kelas Statistik Dr Sham Facebook

Statistik Asas Jong Chien Boon

Statistik Asas Jong Chien Boon

Bab 5 Skor Z

Bab 5 Skor Z

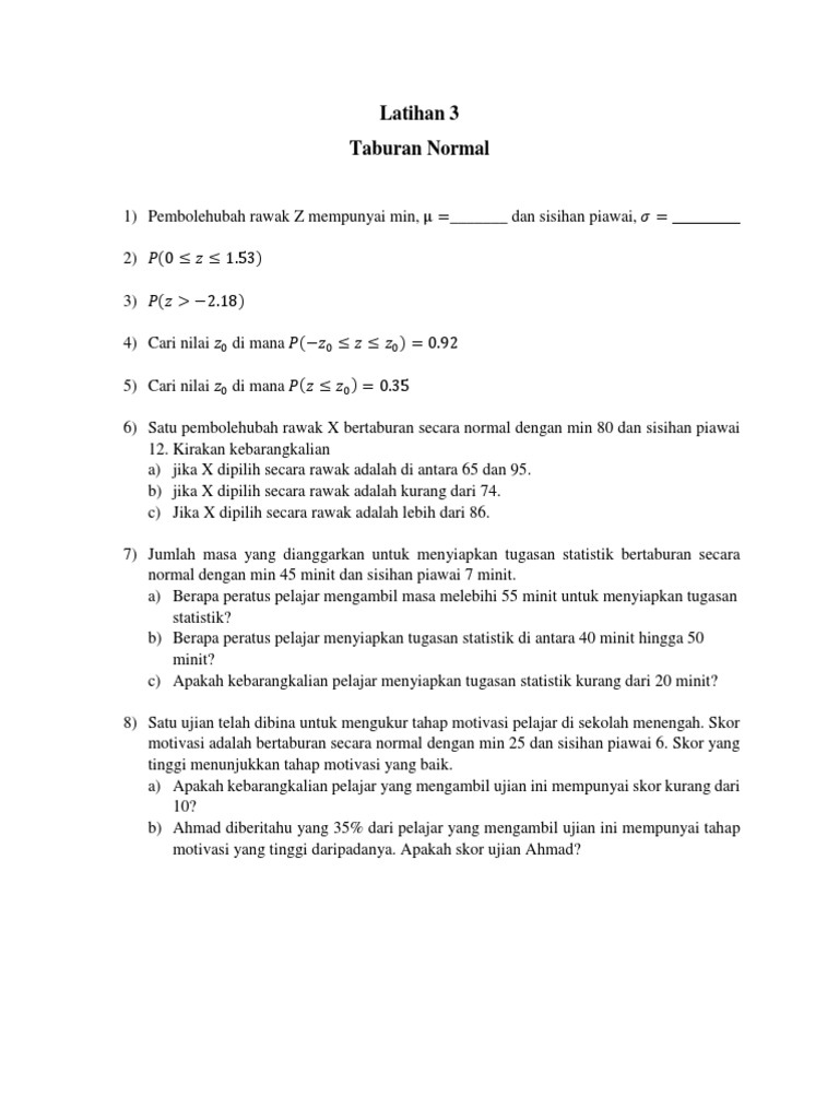
Latihan 3 Taburan Normal Pdf

Latihan 3 Taburan Normal Pdf

Alat Membuat Keputusan

Alat Membuat Keputusan

Tutorial 3 Taburan Normal Docx

Tutorial 3 Taburan Normal Docx

Bagaimana Sisihan Piawai Digunakan Untuk Menentukan Risiko 2020 Talkin Go Money

Bagaimana Sisihan Piawai Digunakan Untuk Menentukan Risiko 2020 Talkin Go Money

Tentukan Ketepatan Tips 2020

Tentukan Ketepatan Tips 2020

Hubungan Antara Minat Sikap Dengan Pencapaian Pelajar Dalam Kursus Cc301 Quantity Measurement Pdf Free Download

Hubungan Antara Minat Sikap Dengan Pencapaian Pelajar Dalam Kursus Cc301 Quantity Measurement Pdf Free Download

Pdf Sukatan Serakan Lieya Khalish Academia Edu

Pdf Sukatan Serakan Lieya Khalish Academia Edu

Analisas Berstatistik Asas

Analisas Berstatistik Asas

Bab 8 Sukatan Serakan Data Tak Terkumpul Pages 1 32 Text Version Anyflip

Bab 8 Sukatan Serakan Data Tak Terkumpul Pages 1 32 Text Version Anyflip

Edu 5900 Kaedah Penyelidikan Ppt Download

Edu 5900 Kaedah Penyelidikan Ppt Download

Hitung Jumlah Kuasa Dua Sse Tips 2020

Hitung Jumlah Kuasa Dua Sse Tips 2020

Bagaimana Untuk Mengira Sisihan Piawai Dalam Excell Tip Berguna 2020

Bagaimana Untuk Mengira Sisihan Piawai Dalam Excell Tip Berguna 2020

2 Keberkesanan Program Pemp

2 Keberkesanan Program Pemp

Pdf 5 0 Menganalisis Dan Menterjemah Data Sarsvathy Thirupathy Academia Edu

Pdf 5 0 Menganalisis Dan Menterjemah Data Sarsvathy Thirupathy Academia Edu

Ukuran Penyebaran Data Varians V Soalan

Ukuran Penyebaran Data Varians V Soalan

Faktor Mempengaruhi Tekanan Kerja Kajian Di Tiga Kolej Vokasional

Faktor Mempengaruhi Tekanan Kerja Kajian Di Tiga Kolej Vokasional

Sejauh Manakah Faktor Keluarga Dapat Mempengaruhi Pencapaian Pelaja

Sejauh Manakah Faktor Keluarga Dapat Mempengaruhi Pencapaian Pelaja

Hitung Ketidaktepatan Tips 2020

Hitung Ketidaktepatan Tips 2020

Eslydmltfxofym

Eslydmltfxofym

Http Www Pertanika Upm Edu My Pertanika 20papers Jssh 20vol 2011 20 1 20mar 202003 20 View 20full 20journal Pdf

Http Www Pertanika Upm Edu My Pertanika 20papers Jssh 20vol 2011 20 1 20mar 202003 20 View 20full 20journal Pdf

Diges Politeknik Kolej Komuniti Zon Sarawak Bil 1 Issn 2180 1916

Diges Politeknik Kolej Komuniti Zon Sarawak Bil 1 Issn 2180 1916

Matematik Tambahan Tingkatan Empat Nota

Matematik Tambahan Tingkatan Empat Nota

Source : pinterest.com